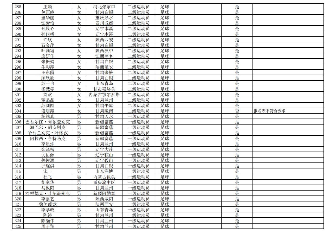
按照《兰州交通大学2021年高水平运动队招生简章》、《兰州交通大学2021年高水平运动队招生考试专项测试及疫情防控工作的补充通知》等通知精神,我校高水平运动队招生工作组组织专家对报考考生提交的报名材料进行了资格初审,现将资格初审结果公示如下。











公示期内如有异议,请以电话或电子邮件方式向我办反映。反映时须提供真实姓名,须有具体事实。匿名举报或不能提供事实材料的,将不予受理。
公示期:2021年3月3日至3月9日
电子邮箱:41513044@qq.com
联系方式:0931-4938051、4956179
兰州交通大学招生办公室
2021年3月3日